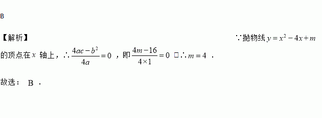
题目内容
抛物线的顶点在轴上,则的值为( ).
A. B. C. D.
如图,四边形ABCD内接于☉O,如果它的一个外角∠DCE=64°,那么∠BOD=( )
A. 128° B. 100° C. 64° D. 32°
如图,⊙O是Rt△ABC的外接圆,∠ABC=90°,弦BD=BA,AC=13,BC=5,BE⊥DC交DC的延长线于点E.
(1)求证:CB是∠ECA的角平分线;
(2)求DE的长;
(3)求证:BE是⊙O的切线.
车辆经过某大桥收费站时, 个收费通道、、、中,可随机选择其中的一个通过.
()一辆车经过此收费站时,选择通道通过的概率是__________.
()用树状图或列表法两辆车经过此收费站时,选择不同通道通过的概率.
已知线段, ,则, 的比例中项线段为__________.
下列各式中, 是关于的二次函数的是( ).
计算:20160﹣|﹣|++2sin45°.
将一个长方体内部挖去一个圆柱(如图所示),它的主视图是( )
已知等腰三角形的一个底角等于15°,腰长为10 cm,则它的面积是______;