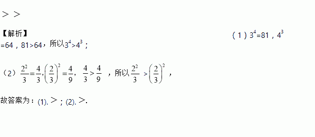
题目内容
比较大小:(1)34______43; (2)
______
.
练习册系列答案
相关题目
某超市在春节期间对顾客实行优惠,规定如下:
一次性购物 | 优惠办法 |
少于300元 | 不预优惠 |
低于600元但不低于300元 | 九折优惠 |
600元或超过600元 | 其中600元部分给予九折优惠,超过600元部分给予八折优惠 |
(1)王老师一次性购物600元,他实际付款_________元.
(2)若顾客在该超市一次性购物x元,当x小于600元但不小于300时,他实际付款_____________元,当x大于或等于600元时,他实际付款______________元.(用含x的代数式表示).
(3)如果王老师两次购物货款合计920元,第一次购物的货款为a元(200<a<300),用含a 的代数式表示两次购物王老师实际付款多少元.
(1)540;(2)0.9x,(0.8x+60);(3)两次购物王老师实际付款(0.2a+796)元. 【解析】试题分析:(1)600元按9折付款,计算即可得; (2)当x小于600元但不小于300时,按9折付款,即为0.9x元; 当x大于或等于600元时,前600元按9折付款,超过部分按8折付款,即:0.9×600+0.8(x-600),整理即可得; (3)王老师第一次购...