题目内容
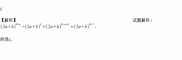
(2a+b)m-4÷(2a+b)3等于( )
A. 3(2a+b)m-4 B. (2a+b)m-4 C. (2a+b)m-7 D. (2a+b)m
若方程mx+ny=6有两个解 ,则m,n的值为( )
A. 4,2 B. 2,4 C. -4,-2 D. -2,-4
在3和4之间找出两个无理数:________和________.
若 xm =2,xn =4,则x2n-3m为多少?
8 =2x÷2,则 x =________;
下面计算正确的是( )
A. b6 ÷b5= 2b5 B. b5 + b5 = b10 C. x15÷x5 = x25 D. y10÷y5 = y5
如图,△ABC中,AB=AC,以AB为直径作⊙O,交BC于点D,交CA的延长线于点E,连接AD、DE.
(1)求证:D是BC的中点;
(2)若DE=3,BD﹣AD=2,求⊙O的半径;
(3)在(2)的条件下,求弦AE的长.
(2017四川省巴中市)下列说法正确的是( )
A. “打开电视机,正在播放体育节目”是必然事件
B. 了解夏季冷饮市场上冰淇淋的质量情况适合用普查
C. 抛掷一枚普通硬币,“这枚硬币正面朝上”,这一事件发生的概率为
D. 甲、乙两人在相同条件下各射击10次,他们的成绩的平均数相同,方差分别是S甲2=0.3,S乙2=0.5,则乙的射击成绩较稳定
在同一平面内两两相交的三条直线,若最多有m个交点,最少有n个交点,则m+n等于( )
A. 1 B. 2 C. 3 D. 4