题目内容
已知在平行四边形中,过点作于点,且.连接交于点,作于点.
(1)如图1,若,,求的长;
(2)如图2,作于点,连接,求证:.
某店只销售某种进价为40元/kg的产品,已知该店按60元kg出售时,每天可售出100kg,后来经过市场调查发现,单价每降低1元,则每天的销售量可增加10kg.
(1)若单价降低2元,则每天的销售量是_____千克,每天的利润为_____元;若单价降低x元,则每天的销售量是_____千克,每天的利润为______元;(用含x的代数式表示)
(2)若该店销售这种产品计划每天获利2240元,单价应降价多少元?
(3)当单价降低多少元时,该店每天的利润最大,最大利润是多少元?
二次函数y=x2+2x+3的图象的开口方向为( )
A. 向上 B. 向下 C. 向左 D. 向右
抛物线的部分图象如图所示,与x轴的一个交点坐标为,抛物线的对称轴是下列结论中:
;;方程有两个不相等的实数根;抛物线与x轴的另一个交点坐标为;若点在该抛物线上,则.
其中正确的有
A. 5个 B. 4个 C. 3个 D. 2个
二次函数y=﹣(x+2)2﹣1的图象的对称轴是( )
A. 直线x=1 B. 直线x=﹣1 C. 直线x=2 D. 直线x=﹣2
解方程:
(1) (2)
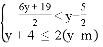
如果关于的分式方程的解为整数,且关于的不等式组无解,则符合条件的所有负整数的和为( )
A. B. C. D.
如图,在矩形ABCD中,AB=8,AD=6,点E为AB上一点,AE=2,点F在AD上,将△AEF沿EF折叠,当折叠后点A的对应点A′恰好落在BC的垂直平分线上时,折痕EF的长为_____.
为了落实国务院副总理李克强同志到恩施考察时的指示精神,最近,州委州政府又出台了一系列“三农”优惠政策,使农民收入大幅度增加.某农户生产经销一种农副产品,已知这种产品的成本价为20元/千克.市场调查发现,该产品每天的销售量w(千克)与销售价x(元/千克)有如下关系:w=-2x+80.设这种产品每天的销售利润为y(元).
(1)求y与x之间的函数关系式.
(2)当销售价定为多少元时,每天的销售利润最大?最大利润是多少?
(3)如果物价部门规定这种产品的销售价不得高于28元/千克,该农户想要每天获得150元的销售利润,销售价应定为多少元?