题目内容

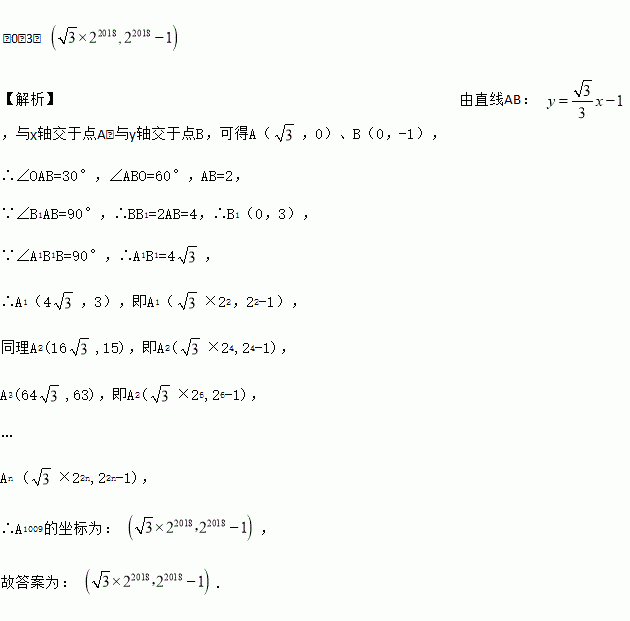
如图,已知直线AB的解析式为,且与轴交于点A,于y轴交于点B,过点A作直线AB的垂线交y轴于点,过点作x轴的平行线交AB于点,再过点作直线AB的垂线交y轴于点…,按此作法继续下去,则点B1的坐标为_______,A1009的坐标为______.

(0,3) 【解析】由直线AB: ,与x轴交于点A,与y轴交于点B,可得A(,0)、B(0,-1), ∴∠OAB=30°,∠ABO=60°,AB=2, ∵∠B1AB=90°,∴BB1=2AB=4,∴B1(0,3), ∵∠A1B1B=90°,∴A1B1=4, ∴A1(4,3),即A1(×22,22-1), 同理A2(16,15),即A2(×24,24-1), ...
练习册系列答案
相关题目

违法和不良信息举报电话:027-86699610 举报邮箱:58377363@163.com

精英家教网