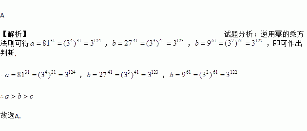
题目内容
已知a=8131,b=2741,c=961,则a、b、c的大小关系是( )
A. a>b>c B. a>c>b C. a<b<c D. b>c>a
如图,将边长为4的菱形ABCD纸片折叠,使点A恰好落在对角线的交点O处,若折痕EF=,则∠A=( )
A. 120° B. 100° C. 60° D. 30°
在平面直角坐标系中,点O为坐标原点,A、B、C三点的坐标为(,0)、(3,0)、(0,5),点D在第一象限,且∠ADB=60°,则线段CD的长的最小值为__.
的相反数是 ( )
A. 3 B. -3 C. D.
若x+4y-3=0,则2x·16y=________.
(2017·淄博中考)下列运算正确的是( )
A. a2·a3=a6 B. (-a2)3=-a5
C. a10÷a9=a(a≠0) D. (-bc)4÷(-bc)2=-b2c2
透明的口袋里装有3个球,这3个球分别标有数字1、2、3,这些球除了数字外都相同。
(1)如果从袋中任意摸出一个球,那么摸到标有数字是2的球的概率是多少?(3分)
(2)小明和小东玩摸球游戏,游戏规则如下:先由小明随机摸出一个球,记下球的数字后放回,搅匀后再由小东随机摸出一个球,记下球的数字.谁摸出的球的数字大,谁获胜.现请你利用树状图或列表的方法分析游戏规则对双方是否公平?并说明理由。(6分)
有五张正面分别写有数字﹣3,﹣2,1,2,3的卡片,它们的背面完全相同,现将这五张卡片背面朝上洗匀后随机抽取一张,以其正面的数字作为a的值,然后再从剩余的四张卡片中随机抽取一张,以其正面的数字作为b的值,则点(a,b)在第二象限的概率是( )
A. B. C. D.
把一元二次方程3x(x﹣2)=4化为一般形式是 .