题目内容
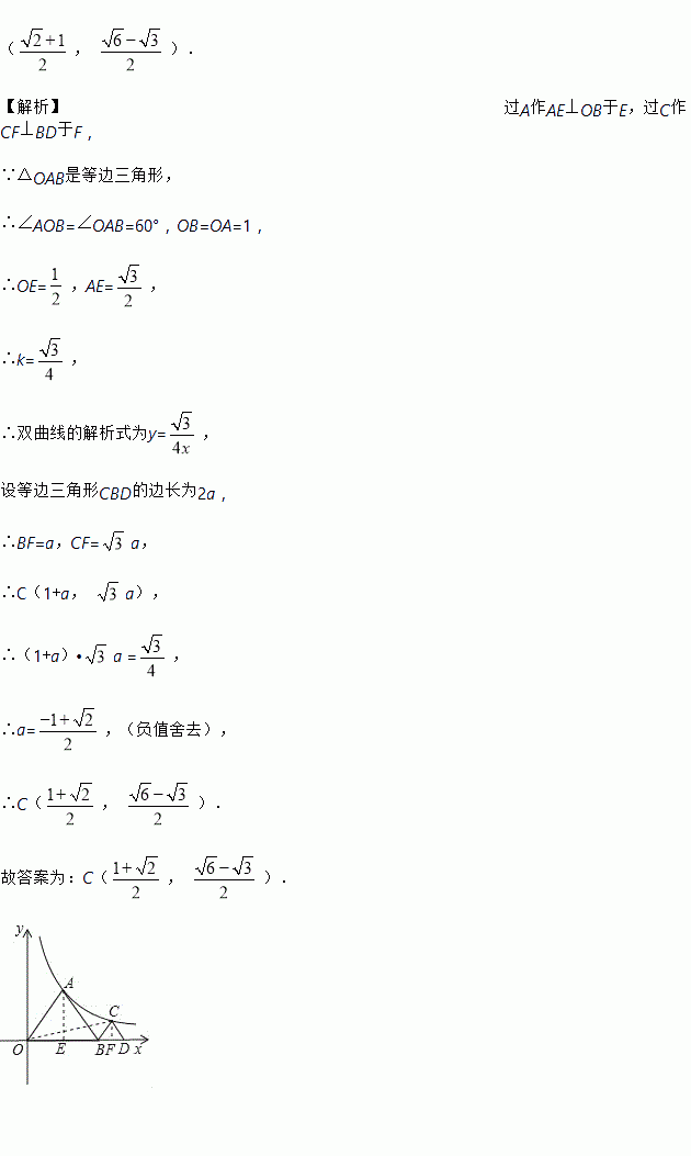
如图,等边△OAB和等边△BCD的顶点A、C分别在双曲线的图象上,若OA=1,则点C的坐标为____________.
请你根据如图所示已知条件,推想正确结论,
要求:每个结论同时含有字母a,b.
写出至少两条正确结论:①_______________________,②_____________________.
现代互联网技术的广泛应用,催生了快递行业的高度发展,据调查,长沙市某家小型“大学生自主创业”的快递公司,今年三月份与五月份完成投递的快递总件数分别为10万件和12.1万件,现假定该公司每月投递的快递总件数的增长率相同.
(1)求该快递公司投递总件数的月平均增长率;
(2)如果平均每人每月最多可投递0.6万件,那么该公司现有的21名快递投递业务员能否完成今年6月份的快递投递任务?如果不能,请问至少需要增加几名业务员?
如图,∠AOB=90°,C在OB的延长线上,D为⊙O上一点,∠BAD=∠BDC.
(1)求证:CD是⊙O的切线;
(2)若⊙O的半径为1,且OB=BC,求四边形AOBD的面积.
计算: .
如图,在正六边形ABCDEF中,△BCD的面积为2,则△BCF的面积为( )
A. 8 B. 6 C. 4 D. 3
某商场将进货单价为40元的商品按50元售出时能卖出500个,经过市场调查发现,这种商品最多只能卖500个.若每个售价提高1元,其销售量就会减少10个,商场为了保证经营该商品赚得8 000元的利润而又尽量兼顾顾客的利益,售价应定为多少?这时应进货多少个?
已知方程x2-6x+q=0可以配方成(x-p)2=7的形式,那么x2-6x+q=2可以配方成下列的( )
A. (x-p)2=5 B. (x-p)2=9 C. (x-p+2)2=9 D. (x-p+2)2=5
用半径为3cm,圆心角是120°的扇形围成一个圆锥的侧面,则这个圆锥的底面半径为______cm.