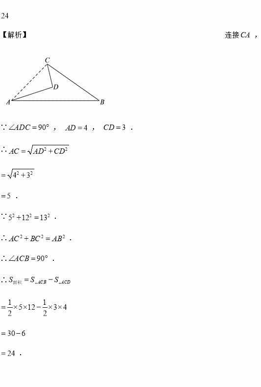
题目内容
如图所示的一块地, , , , , ,求这块地的面积__________.
△ABC中,AB = 5,AC = 6,BC = 4,边AB的垂直平分线交AC于点D,则△BDC的周长是( )
A. 8 B. 9 C. 10 D. 11
已知:多项式 2x2+my-12与多项式nx2-3y+6的差与x,y的大小无关.
求:m+n+mn的值.
一种面粉的质量标识为“25±0.25千克”,则下列面粉中合格的是( )
A. 24.70千克 B. 25.30千克 C. 24.80千克 D. 25.51千克
已知中, , 于.
()若,求的度数.
()若, ,求的长.
等腰三角形的一边长为,另一边长为,则它的周长是__________.
等腰三角形的一个内角是,则它顶角的度数是( ).
A. B. 或 C. 或 D.
如图,在矩形ABCD中,E、F分别是AD、CD的中点,沿着BE将△ABE折叠,点A刚好落在BF上,若AB=2,则AD=________.
某广告公司设计一幅周长为16米的矩形广告牌,广告设计费为每平方米2000元.设矩形一边长为x,面积为S平方米.
(1)求S与x之间的函数关系式,并写出自变量x的取值范围;
(2)设计费能达到24000元吗?为什么?
(3)当x是多少米时,设计费最多?最多是多少元?