题目内容
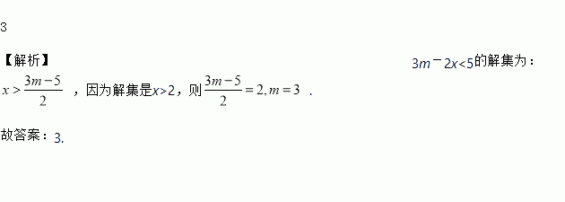
若关于x的不等式3m-2x<5的解集是x>2,则实数m的值为________.
二次函数y= 图象如图所示.当y<0时,自变量x的取值范围是( )
A. x<-1 B. -1<x<3
C. x>3 D. x<-1或x>3
下列事件中属于随机事件的是( )
A.抛出的篮球会落下
B.从装有黑球,白球的袋里摸出红球
C.367人中有2人是同月同日出生
D.买1张彩票,中500万大奖
如图,四边形ABCD,AEFG均为正方形,点E在BC上,且B,E两点不重合,连接BG.根据图中标示的角判断,下列关系正确的是( )
A. ∠1<∠2 B. ∠1>∠2 C. ∠3<∠4 D. ∠3>∠4
若关于x、y的二元一次方程组的解满足x+y>﹣,求出满足条件的m的所有正整数值.
若关于x的一元一次方程x–m+2=0的解是负数,则m的取值范围是( )
A. m≥2 B. m>2 C. m<2 D. m≤2
已知抛物线经过原点O及点A和点B.
(1)求抛物线的解析式;
(2)如图1,设抛物线的对称轴与x轴交于点C,将直线沿y轴向下平移n个单位后得到直线l,若直线l经过B点,与y轴交于点D,且与抛物线的对称轴交于点E.若P是抛物线上一点,且PB=PE,求点P的坐标;
(3)如图2,将抛物线向上平移9个单位得到新抛物线,直接写出下列两个问题的答案:
①直线至少向上平移多少个单位才能与新抛物线有交点?
②新抛物线上的动点Q到直线的最短距离是多少?
(3分)若正方形的边长为6,则其外接圆半径与内切圆半径的大小分别为( )
A. 6, B. ,3 C. 6,3 D. ,
已知长江比黄河长836 km,黄河长的6倍比长江长的5倍多1 284 km.若设长江长x km,黄河长y km,则下列方程组能满足上述关系的是( )
A. B.
C. D.