搜索
题目内容
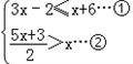
解不等式组:
。
试题答案
相关练习册答案
解:
,
解①得:x≤4,
解②得:x>-1,
则不等式的解集是:-1<x≤4。
练习册系列答案
中华活页文选系列答案
中考达标学案系列答案
黑皮系列分层强化训练系列答案
全品新阅读系列答案
150加50篇英语完形填空与阅读理解系列答案
黄冈经典阅读系列答案
文言文课外阅读特训系列答案
轻松阅读训练系列答案
南大教辅初中英语任务型阅读与首字母填空系列答案
初中英语听力与阅读系列答案
相关题目
解不等式组:
9
2
-4x≥
3
2
-3x
4
3
x+
3
2
>-
x
6
,并把它的解集表示在数轴上.
(2013•天津)解不等式组
x-1<2
2x+9>3
.
(1)计算:4cos45°+(π+3)
0
-
8
+(
1
5
)
-1
;
(2)解不等式组:
2x≥3(x-1)
x
3
-
x-1
2
<1
,并把解集在数轴上表示出来.
(2013•河东区二模)解不等式组
2x+3>1-x
x
3
-1≥1
.
(2012•徐州)(1)计算:
(-3
)
2
-
4
+(
1
2
)
0
;
(2)解不等式组:
x-2<3
2x+1>7
.
关 闭
试题分类
高中
数学
英语
物理
化学
生物
地理
初中
数学
英语
物理
化学
生物
地理
小学
数学
英语
其他
阅读理解答案
已回答习题
未回答习题
题目汇总
试卷汇总
练习册解析答案