题目内容

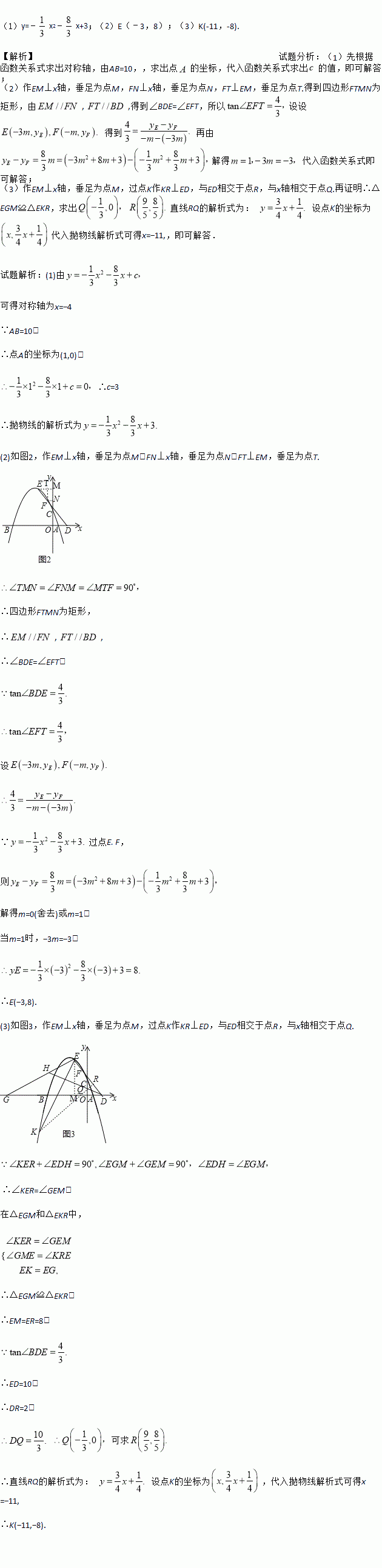
如图1,已知抛物线y=﹣x2﹣x+c与x轴相交于A、B两点(B点在A点的左侧),与y轴相交于C点,且AB=10.

(1)求这条抛物线的解析式;

(2)如图2,D点在x轴上,且在A点的右侧,E点为抛物线上第二象限内的点,连接ED交抛物线于第二象限内的另外一点F,点E到y轴的距离与点F到y轴的距离之比为3:1,已知tan∠BDE=,求点E的坐标;

(3)如图3,在(2)的条件下,点G由B出发,沿x轴负方向运动,连接EG,点H在线段EG上,连接DH,∠EDH=∠EGB,过点E作EK⊥DH,与抛物线相应点E,若EK=EG,求点K的坐标.

(1)y=﹣x2﹣x+3;(2)E(﹣3,8);(3)K(-11,-8). 【解析】试题分析:(1)先根据函数关系式求出对称轴,由AB=10,,求出点的坐标,代入函数关系式求出的值,即可解答; (2)作EM⊥x轴,垂足为点M,FN⊥x轴,垂足为点N,FT⊥EM,垂足为点T.得到四边形FTMN为矩形,由, ,得到∠BDE=∠EFT,所以设设 得到 再由解得 代入函数关系式即可解答; (3)...
练习册系列答案
相关题目

违法和不良信息举报电话:027-86699610 举报邮箱:58377363@163.com

精英家教网