题目内容

选取二次三项式中的两项,配成完全平方式的过程叫配方.

例如:①选取二次项和一次项配方:

②选取二次项和常数项配方: ,或

③选取一次项和常数项配方:

根据上述材料,解决下面问题:

(1)写出的两种不同形式的配方;

(2)已知,求的值.

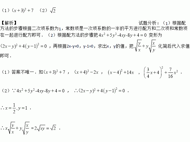
(1) (2) 【解析】试题分析:(1)根据配方法的步骤根据二次项系数为1,常数项是一次项系数的一半的平方进行配方和二次项和常数项在一起进行配方即可.(2)根据配方法的步骤把变形为,再根据2x-y=0,y-1=0,求出x,y的值,把化简后代入求值即可. (1)答案不唯一.如, , , . (2)∵, ∴. ∴. ∴=.
练习册系列答案
相关题目

违法和不良信息举报电话:027-86699610 举报邮箱:58377363@163.com

精英家教网