题目内容
把下列各式因式分解
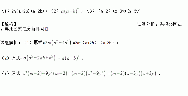
(1) (2) (3)
空气的单位体积质量是0.001239克/立方厘米,0.001239用科学记数法表示为___.
计算: .
若将抛物线向右平移2个单位后,所得抛物线的表达式为,则原来抛物线的表达式为( )
A. B. C. D.
如图,点E,F在BC上,BE=CF,∠A=∠D,∠B=∠C,AF与DE交于O.求证:
已知△ABC中,AD是△ABC的中线,AB=8,AC=6,求AD的取值范围是______.
某施工队要铺设一条长为1500米的管道,为了减少施工对交通造成的影响,施工队实际的工作效率比原计划提高了20%,结果比原计划提前2天完成任务.若设施工队原计划每天铺设管道米,则根据题意所列方程正确的是( ).
A.
B.
C.
D.
如图,在△ABC中,∠B=30°,∠C=∠B,AB=2cm,点P从点B开始以1cm/s的速度向点C移动,当△ABP要以AB为腰的等腰三角形时,则运动的时间为 ______ .
△ABC中,∠A=40°,∠B=60°,则∠C的度数是( )
A. 40° B. 60° C. 80° D. 100°