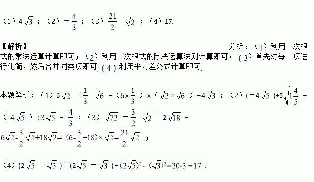
题目内容
计算:(1)6× ; (2)(-4)÷5;
(3) - +2; (4)(2+)×(2-).
下列各组数据中的三个数作为三角形的边长,其中能构成直角三角形的是( )
A. B. 1,
C. 6,7,8 D. 2,3,4
若分式方程-1=有增根,则m的值为( )
A. 0和3 B. 1 C. 1和-2 D. 3
下列命题中正确命题的个数是 ( )
①3的平方根是; ②-3是9的平方根; ③都是5的平方根; ④负数没有立方根.
A. 1个 B. 2个 C. 3个 D. 4个
已知x=2+,求代数式(7-4)x2+(2-)x+的值.
下列一元二次方程中,两实根之和为1的是
A. B. C. D.
如果关于x的一元二次方程有两个不相等的实数根,那么m的取值范围是
A. B. C. 且 D. 且
如图所示的圆柱形茶叶筒的主视图是
如图,□ABCD中,EF过对角线的交点O,AB=4,AD=3,OF=1,则四边形BCEF的周长为( )
A. 8 B. 9 C. 12 D. 13