题目内容
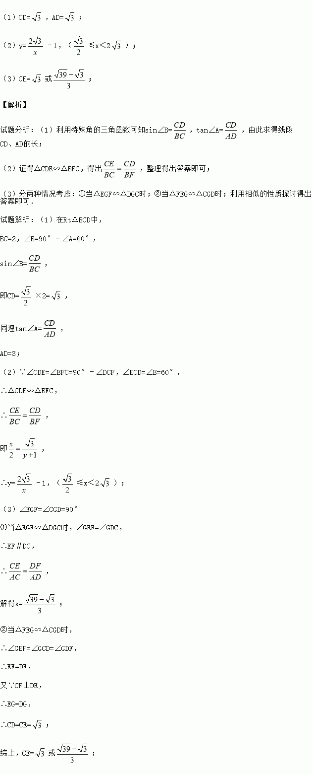
如图,Rt△ABC中,∠C=90°,∠A=30°,BC=2,CD是斜边AB上的高,点E为边AC上一点(点E不与点A、C重合),联结DE,作CF⊥DE,CF与边AB、线段DE分别交于点F、G;
![]()
(1)求线段CD、AD的长;
(2)设CE=x,DF=y,求y关于x的函数解析式,并写出它的定义域;
(3)联结EF,当△EFG与△CDG相似时,求线段CE的长.
练习册系列答案
相关题目
题目内容
如图,Rt△ABC中,∠C=90°,∠A=30°,BC=2,CD是斜边AB上的高,点E为边AC上一点(点E不与点A、C重合),联结DE,作CF⊥DE,CF与边AB、线段DE分别交于点F、G;
![]()
(1)求线段CD、AD的长;
(2)设CE=x,DF=y,求y关于x的函数解析式,并写出它的定义域;
(3)联结EF,当△EFG与△CDG相似时,求线段CE的长.