题目内容
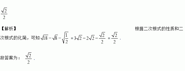
计算: =_____________。
下列句子是命题的是( )
A. 画∠AOB=45° B. 小于直角的角是锐角吗?
C. 连结CD D. 三角形内角和等于180°
解方程:x2+4x=1.
在平面直角坐标系中,将一块等腰直角三角板ABC放在第一象限,斜靠在两条坐标轴上,∠ACB=900,且A(0,4),点C(2,0),BE⊥x轴于点E,一次函数y=x+b经过点B,交y轴于点D。
(1)求证;△AOC≌△CEB
(2)求△ABD的面积。
解方程组
一次函数y=2x-3与y轴的交点坐标为( )
A. (0,-3) B. (0,3) C. (,0) D. (,0)
如图,在△ABC中,AB =AC,AD⊥BC于点D,AM是△ABC的外角∠CAE的平分线.
(1)求证:AM∥BC;
(2)若DN平分∠ADC交AM于点N,判断△ADN的形状并说明理由.
如图,已知在△ABC,AB=AC.若以点B为圆心,BC长为半径画弧,交腰AC于点E,则下列结论一定正确的是( )
A. AE=EC B. AE=BE C. ∠EBC=∠BAC D. ∠EBC=∠ABE
如图,A,O,B三点在同一直线上,∠BOD与∠BOC互补.
(1)试判断∠AOC与∠BOD之间有怎样的数量关系,写出你的结论,并加以证明;
(2)OM平分∠AOC,ON平分∠AOD,①依题意,将备用图补全;
② 若∠MON=40°,求∠BOD的度数.