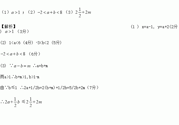
题目内容

阅读下列材料:

解答“已知,试确定的取值范围”有如下解法:

【解析】
,∴x=y+2,又∵,∴,即

,∴.…①

同理得: .…②

由①+②得

的取值范围是.

请按照上述方法,完成下列问题 :

已知关于的方程组的解都是正数.

(1)求的取值范围;

(2)已知,求的取值范围;

(3) 已知是大于0的常数),且的最大值.(用含的式子表示)

(1);(2)(3) 【解析】(1 ) x=a-1, y=a+2(2分) (3分) (2) 11∴b+m>1,b>1_m 由∵b≤1 ∴2a+1/2b=2(b+m)+1/2b=5/2b+2m(7分) ∴≤
练习册系列答案
相关题目

四条线段的长分别是5cm,6cm,8cm,13cm,以其中任意三条线段为边可以构成______个三角形.

2 【解析】首先发现每三条可以组合为5、6、8;5、6、13;5、8、13;6、8、13; 再根据三角形的三边关系,可知能构成三角形的为:5、6、8和6、8、13. 因此可构成2个三角形. 故答案为:2.

已知抛物线y=x2+bx+c的部分图象如图所示,若y<0,则x的取值范围是(     )

A. -1<x<4 B. -1<x<3 C. x<-1或x>4 D. x<-1或x>3

B 【解析】由图象知,抛物线与x轴交于(-1,0),对称轴为x=1, ∴抛物线与x轴的另一交点坐标为(3,0), ∵y<0时,函数的图象位于x轴的下方, 且当-1<x<3时函数图象位于x轴的下方, ∴当-1<x<3时,y<0. 故选B.

二次函数y=x2-4x-3的顶点坐标是_____________.

(2,﹣7) 【解析】试题分析:原式化为顶点式解析式,即为y=(x-2)2-7,所以其顶点坐标是(2,﹣7).

如图,若a<0,b>0,c<0,则抛物线y=ax2+bx+c的大致图象为(  )

A. B. C. D.

B 【解析】试题分析:∵a<0, ∴抛物线的开口方向向下, 故第三个选项错误; ∵c<0, ∴抛物线与y轴的交点为在y轴的负半轴上, 故第一个选项错误; ∵a<0、b>0,对称轴为x=>0, ∴对称轴在y轴右侧, 故第四个选项错误. 故选B.

任取不等式组的一个整数解,则能使关于x的方程:2x+k=-1的解为非负数的可能性为____.

【解析】解不等式k-3≤0可得k≤3,解不等式2k+5>0,可得k>-,所以可求得不等式组的解集为-<k≤3,所以k的整数解为-2、-1、0、1、2、3,分别代入方程2x+k=-1,可得x=、0、-、-1、-、-2,所以非负数解有了两个,其可能性为: . 故答案为: .

不等式-1的正整数解的个数是( )

A. 1个 B. 2个 C. 3个 D. 4个

D 【解析】根据不等式的解法,去分母,得3(x+1)>2(2x+2)-6,去括号得3x+3>4x+4-6,移项合并同类项,x<5,可得其正整数解为1、2、3、4,共4个. 故选:D.

下列不能作为判定四边形ABCD为平行四边形的条件的是( )

A. AB=CD,AD=BC B. ABCD

C. AB=CD,AD∥BC D. AB∥CD,AD∥BC

C 【解析】解:A.∵AB=CD,AD=BC,∴四边形ABCD的两组对边相等,可以判定四边形ABCD是平行四边形;故本选项不合题意; B.∵AB∥CD,AB=CD,∴四边形ABCD的一组对边平行且相等,可以判定四边形ABCD是平行四边形;故本选项不合题意; C.∵AB=CD,AD∥CD,无法判定四边形ABCD是平行四边形;故本选项合题意; D.∵AB∥CD,AD∥BC,四边...

已知ab=4,若2≥b≥1,则a的取值范围是________.

4≥a≥2 【解析】根据已知条件可以求得b=,然后将b的值代入不等式2≥b≥1,通过解该不等式即可求得a的取值范围4≥a≥2. 故答案为:4≥a≥2.

违法和不良信息举报电话:027-86699610 举报邮箱:58377363@163.com

精英家教网