题目内容
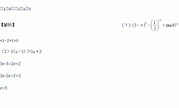
(1)计算: ;(2)解不等式:3(x-1)>2x+2.
已知不等式组只有一个整数解,则的取值范围一定只能为( ).
A. B. C. D.
先化简,再求值: ,其中x=4
不透明的袋子中装有形状、大小、质地完全相同的6个球,其中4个黑球、2个白球,从袋子中一次摸出3个球,下列事件是不可能事件的是( )
A. 摸出的是3个白球
B. 摸出的是3个黑球
C. 摸出的是2个白球、1个黑球
D. 摸出的是2个黑球、1个白球
如图,从A地到B地的公路需经过C地,图中AC=10千米,∠CAB=25°,∠CBA=37°,因城市规划的需要,将在A、B两地之间修建一条笔直的公路.
(1)求改直的公路AB的长;
(2)问公路改直后比原来缩短了多少千米?(sin25°≈0.42,cos25°≈0.91,sin37°≈0.60,tan37°≈0.75)
若反比例函数的图象经过点,则它的函数关系式是 .
如图,△ABC的三个顶点分别在直线a、b上,且a∥b,若∠1=120°,∠2=80°,则∠3的度数是( )
A. 40° B. 60° C. 80° D. 120°
如图,△ABC中,中线BE与中线AD交于点G,若DG=2,则AG=_______.
如图所示是一个正比例函数与一个一次函数的图象,它们交于点A (4,3),一次函数的图象与y轴交于点B,且OA=OB.
(1)求这两个函数的解析式;
(2)当x取何值时,一次函数的值大于正比例函数的值?