题目内容
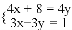
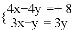
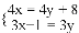
某校“百变魔方”社团为组织同学们参加学校科技节的“最强大脑”大赛,准备购买A,B两款魔方.社长发现若购买2个A款魔方和6个B款魔方共需170元,购买3个A款魔方和购买8个B款魔方所需费用相同. 求每款魔方的单价.设A款魔方的单价为x元,B款魔方的单价为y元,依题意可列方程组为_______.
练习册系列答案
相关题目
题目内容
某校“百变魔方”社团为组织同学们参加学校科技节的“最强大脑”大赛,准备购买A,B两款魔方.社长发现若购买2个A款魔方和6个B款魔方共需170元,购买3个A款魔方和购买8个B款魔方所需费用相同. 求每款魔方的单价.设A款魔方的单价为x元,B款魔方的单价为y元,依题意可列方程组为_______.