ÌâÄ¿ÄÚÈÝ

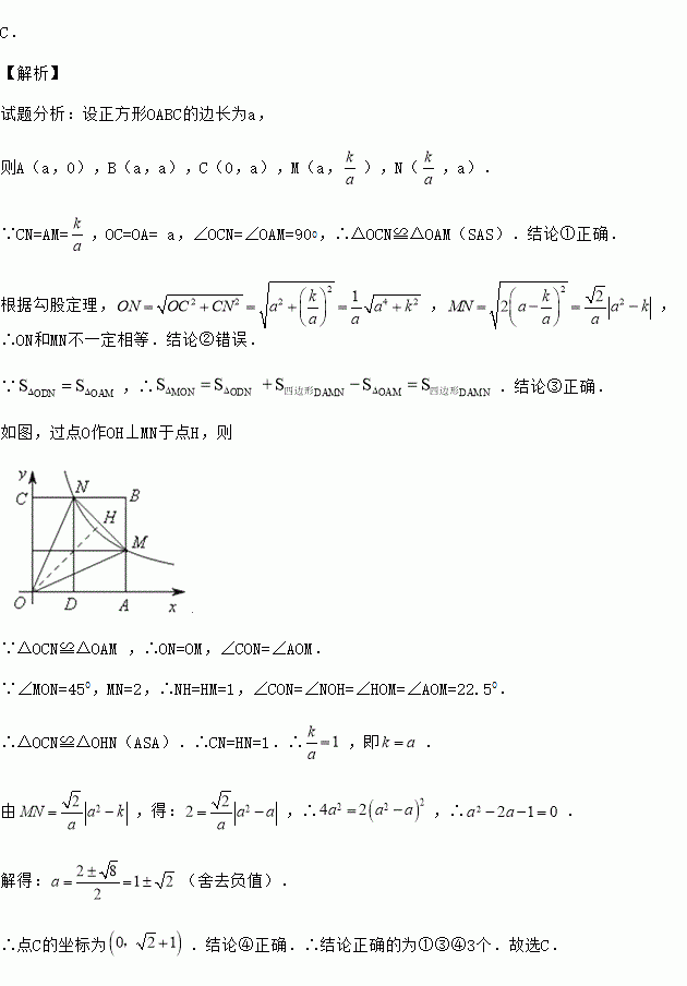
Èçͼ£¬ÔÚÖ±½Ç×ø±êϵÖУ¬Õý·½ÐÎOABCµÄ¶¥µãOÓëÔ­µãÖØºÏ£¬¶¥µãA£®C·Ö±ðÔÚxÖá¡¢yÖáÉÏ£¬·´±ÈÀýº¯ÊýµÄͼÏóÓëÕý·½ÐεÄÁ½±ßAB¡¢BC·Ö±ð½»ÓÚµãM¡¢N£¬ND¡ÍxÖᣬ´¹×ãΪD£¬Á¬½ÓOM¡¢ON¡¢MN£®ÏÂÁнáÂÛ£º

¢Ù¡÷OCN¡Õ¡÷OAM£»

¢ÚON=MN£»

¢ÛËıßÐÎDAMNÓë¡÷MONÃæ»ýÏàµÈ£»

¢ÜÈô¡ÏMON=450£¬MN=2£¬ÔòµãCµÄ×ø±êΪ.

ÆäÖÐÕýÈ·µÄ¸öÊýÊÇ£¨ £©

A£®1 B£®2 C£®3 D£®4

C£® ¡¾½âÎö¡¿ ÊÔÌâ·ÖÎö£ºÉèÕý·½ÐÎOABCµÄ±ß³¤Îªa£¬ ÔòA£¨a£¬0£©£¬B£¨a£¬a£©£¬C£¨0£¬a£©£¬M£¨a£¬£©£¬N£¨£¬a£©£® ¡ßCN=AM=£¬OC=OA= a£¬¡ÏOCN=¡ÏOAM=900£¬¡à¡÷OCN¡Õ¡÷OAM£¨SAS£©£®½áÂÛ¢ÙÕýÈ·£® ¸ù¾Ý¹´¹É¶¨Àí£¬£¬£¬¡àONºÍMN²»Ò»¶¨ÏàµÈ£®½áÂÛ¢Ú´íÎó£® ¡ß£¬¡à£®½áÂÛ¢ÛÕýÈ·£® Èçͼ£¬¹ýµãO×÷OH¡ÍMNÓÚµãH£¬Ôò ¡ß¡÷...
Á·Ï°²áϵÁдð°¸
Ïà¹ØÌâÄ¿

Î¥·¨ºÍ²»Á¼ÐÅÏ¢¾Ù±¨µç»°£º027-86699610 ¾Ù±¨ÓÊÏ䣺58377363@163.com

¾«Ó¢¼Ò½ÌÍø