题目内容
已知函数y=y1-y2,y1与x成反比例,y2与x-2成正比例,且当x=1时,y=-1;当x=3时,y=5,求y与x的函数关系式,并求当x=5时y的值.
【答案】分析:首先根据正比例和反比例函数的定义设表达式;再根据给出自变量和函数的对应值,求出待定的系数来确定总表达式,然后求x=5时,y的值即可.
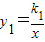
解答:解:设
,y2=k2(x-2),则

根据题意,得

解得:k1=3,k2=-4
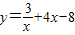
∴
当x=5时,y=
.
点评:本题考查了正比例和反比例函数的定义,并且考查了二元一次方程组的解法和求函数值的方法.
解答:解:设
根据题意,得
解得:k1=3,k2=-4
∴
当x=5时,y=
点评:本题考查了正比例和反比例函数的定义,并且考查了二元一次方程组的解法和求函数值的方法.
练习册系列答案
相关题目