题目内容
如图,点、分别在的、边上,增加下列条件中的一个:
①,②,③,④,⑤,
使与一定相似的有( ).
A. ①②④ B. ②④⑤ C. ①②③④ D. ①②③⑤
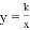
如图是一个正方体的展开图,标注了字母a的面是正方体的正面,如果正方体相对两个面上的代数式的值相等,求a,x,y的值.
列方程解应用题:
随着经济的增长和人民生活水平的提高,我国公民出境旅游人数逐年上升,据统计,年我国公民出境旅游总人数约为万人次,年约为万人次,求我国公民出境旅游总人数的年平均增长率.
如图,在平面直角坐标系中,正比例函数与反比例函数的图像交于、两点,点的横坐标为,轴于点,连接.
()求反比例函数的表达式.
()若点是反比例函数图像上一点,且满足的面积是面积的一半,请直接写出点的坐标.
的三边长分别为,,,与它相似的的最小边长为,则的周长为__________.
在平面直角坐标系中,点的坐标为,轴于点,以原点为位似中心,将放大为原来的倍,得到,且点在第二象限,则点的坐标为( ).
A. B. C. D.
如图,在平面直角坐标系,一次函数的图象经过点且与函数的图象交于点.
()求正比例函数的解析式及一次函数解析式.
()设一次函数的图象与轴交于点,求的面积.
如图,将平行四边形ABCD沿AE翻折,使点B恰好落在AD上的点F处,则下列结论不一定成立的是( )
A. AF=EF B. AB=EF C. AE=AF D. AF=BE
已知且,求的取值范围.