题目内容

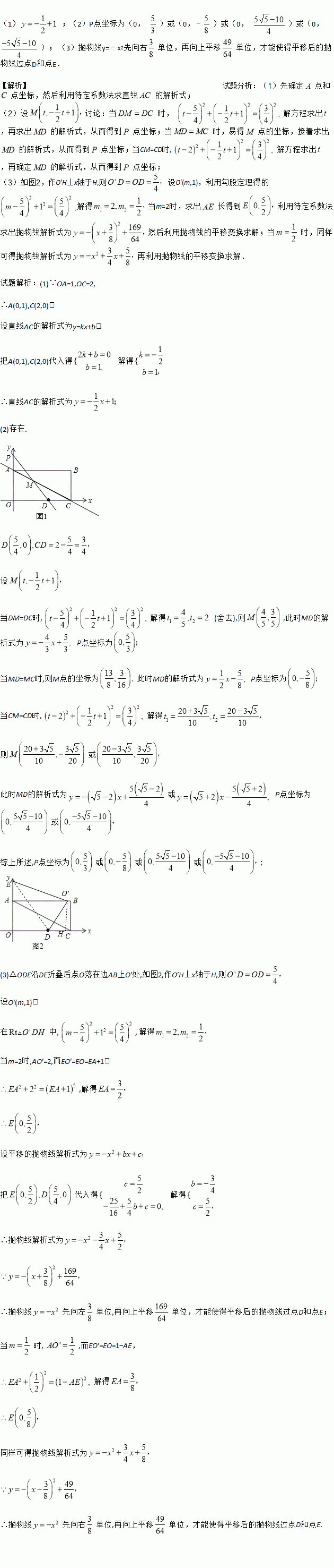
如图,在平面直角坐标系中,矩形OABC的边OA在y轴的正半轴上,OC在x轴的正半轴上,OA=1,OC=2,点D在边OC上且OD=1.25.

(1)求直线AC的解析式.

(2)在y轴上是否存在点P,直线PD与矩形对角线AC交于点M,使得△DMC为等腰三角形?若存在,直接写出所有符合条件的点P的坐标;若不存在,请说明理由.

(3)抛物线y=﹣x2经过怎样平移,才能使得平移后的抛物线过点D和点E(点E在y轴正半轴上),且△ODE沿DE折叠后点O落在边AB上O′处?

(1) ;(2)P点坐标为(0, )或(0,﹣)或(0, )或(0, ); (3)抛物线y=﹣x2先向右单位,再向上平移单位,才能使得平移后的抛物线过点D和点E. 【解析】试题分析:(1)先确定点和点坐标,然后利用待定系数法求直线的解析式; (2)设讨论:当时, 解方程求出,再求出的解析式,从而得到点坐标;当时,易得点的坐标,接着求出的解析式,从而得到点坐标;当CM=CD时, 解方程求出,...
练习册系列答案
相关题目

违法和不良信息举报电话:027-86699610 举报邮箱:58377363@163.com

精英家教网