ÌâÄ¿ÄÚÈÝ

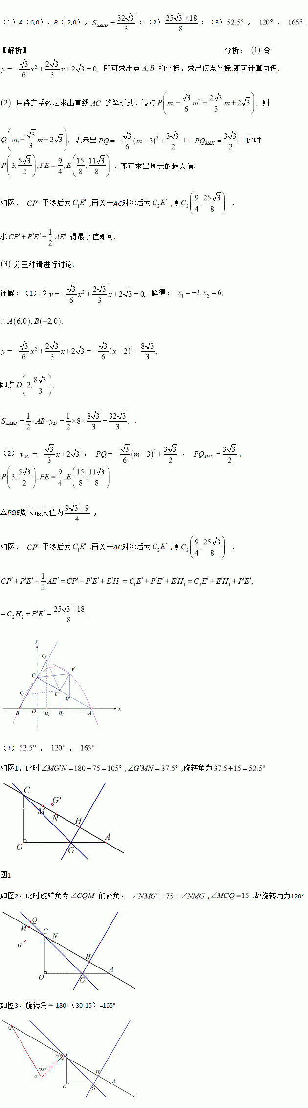
Èçͼ1£¬Å×ÎïÏßÓëxÖáÏཻÓÚA£¬BÁ½µã£¨µãAÔÚµãBµÄÓҲࣩ£¬ÓëyÖá½»ÓÚµãC£¬µãDÊÇÅ×ÎïÏߵĶ¥µã£¬Á¬½ÓAD¡¢BD.

Çó¡÷ABDµÄÃæ»ý£»

Èçͼ2£¬Á¬½ÓAC¡¢BC£¬ÈôµãPÊÇÖ±ÏßACÉÏ·½Å×ÎïÏßÉÏÒ»¶¯µã£¬¹ýP×÷PE//BC½»ACÓÚµãE£¬×÷PQ//yÖá½»ACÓÚµãQ£¬µ±¡÷PQEÖܳ¤×î´óʱ£¬½«¡÷PQEÑØ×ÅÖ±ÏßACÆ½ÒÆ£¬¼ÇÒÆ¶¯Öеġ÷PQEΪ£¬Á¬½Ó£¬Çó¡÷PQEµÄÖܳ¤µÄ×î´óÖµ¼°µÄ×îСֵ£»

Èçͼ3£¬µãGΪxÖáÕý°ëÖáÉÏÒ»µã£¬ÇÒOG=OC£¬Á¬½ÓCG£¬¹ýG×÷GH¡ÍACÓÚµãH£¬½«¡÷CGHÈÆµãO˳ʱÕëÐýת£¨£©£¬¼ÇÐýתÖеġ÷CGHΪ£¬ÔÚÐýת¹ý³ÌÖУ¬Ö±Ïß,·Ö±ðÓëÖ±ÏßAC½»ÓÚµãM£¬N£¬ ÄÜ·ñ³ÉΪµÈÑüÈý½ÇÐΣ¿ÈôÄÜÖ±½Óд³öËùÓÐÂú×ãÌõ¼þµÄµÄÖµ£»Èô²»ÄÜ£¬Çë˵Ã÷ÀíÓÉ.

Á·Ï°²áϵÁдð°¸
Ïà¹ØÌâÄ¿

Î¥·¨ºÍ²»Á¼ÐÅÏ¢¾Ù±¨µç»°£º027-86699610 ¾Ù±¨ÓÊÏ䣺58377363@163.com

¾«Ó¢¼Ò½ÌÍø