题目内容
如图,直线
=
+6与
轴和
轴分别交于点E、F,点E坐标为(
8,0),点A的坐标为(
6,0).
(1)求k的值;
(2)若点P(
,
)是第二象限内的直线上的一个动点,当点P运动过程中,试写出三角形OPA的面积S与
的函数关系式,并写出自变量
的取值范围;
(3)探究:当P运动到什么位置时,三角形OPA的面积为
,并说明理由。
(1)求k的值;
(2)若点P(
(3)探究:当P运动到什么位置时,三角形OPA的面积为
解:(1)把(
8,0)代入y=kx+6中,
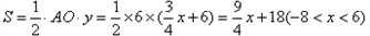
(2)
(3)当
时,代入
,
(2)
(3)当
练习册系列答案
相关题目