题目内容
△ABC是一张等腰直角三角形纸板,∠C=Rt∠,AC=BC=2。
(1)要在这张纸板中剪出一个尽可能大的正方形,有甲、乙两种剪法(如图1),比较甲、乙两种剪法,哪种剪法所得的正方形面积大?请说明理由。
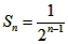
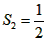
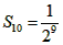
(2)图1中甲种剪法称为第1次剪取,记所得正方形面积为s1;按照甲种剪法,在余下的△ADE和△BDF中,分别剪取正方形,得到两个相同的正方形,称为第2次剪取,并记这两个正方形面积和为s2(如图2),则s2=_______;再在余下的四个三角形中,用同样方法分别剪取正方形,得到四个相同的正方形,称为第3次剪取,并记这四个正方形面积和为s3,继续操作下去……,则第10次剪取时,s10=______;
(3)求第10次剪取后,余下的所有小三角形的面积之和。
(1)要在这张纸板中剪出一个尽可能大的正方形,有甲、乙两种剪法(如图1),比较甲、乙两种剪法,哪种剪法所得的正方形面积大?请说明理由。
(2)图1中甲种剪法称为第1次剪取,记所得正方形面积为s1;按照甲种剪法,在余下的△ADE和△BDF中,分别剪取正方形,得到两个相同的正方形,称为第2次剪取,并记这两个正方形面积和为s2(如图2),则s2=_______;再在余下的四个三角形中,用同样方法分别剪取正方形,得到四个相同的正方形,称为第3次剪取,并记这四个正方形面积和为s3,继续操作下去……,则第10次剪取时,s10=______;
(3)求第10次剪取后,余下的所有小三角形的面积之和。
解:(1)如图甲,由题意,得AE=DE=EC,即EC=1,
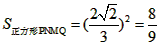
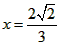
如图乙,设MN=x,则由题意,得AM=MQ=PN=NB=MN=x,
∴
,
解得
∴
又∵
∴甲种剪法所得的正方形面积更大。
说明:图甲可另解为:由题意得点D、E、F分别为AB、AC、BC的中点
。
(2)
;
。
(3)探索规律可知:
,
剩余三角形面积和为
。
如图乙,设MN=x,则由题意,得AM=MQ=PN=NB=MN=x,
∴
解得
∴
又∵
∴甲种剪法所得的正方形面积更大。
说明:图甲可另解为:由题意得点D、E、F分别为AB、AC、BC的中点
(2)
(3)探索规律可知:
剩余三角形面积和为
练习册系列答案
相关题目