题目内容
正整数集合与负整数集合合并在一起构成的集合是( )
A.整数集合 B.有理数集合 C.自然数集合 D.以上说法都不对
先化简后求值:
(x+2y)2?(x+y)(3x?y)?5y2,其中x=?2,y=.
已知关于x的一元二次方程x2+mx+1=0的一个根为2,则另一个根是_____.
在抗洪抢险中,人民解放军的冲锋舟沿东西方向的河流抢救灾民,早晨从A地出发,晚上到达B地,规定向东为正方向.当天航行路程记录如下:(单位:千米)
14,﹣9,18,﹣7,13,﹣6,10,﹣5
问:(1)B地在A地的何位置;
(2)若冲锋舟每千米耗油0.5升,油箱容量为29升,求途中需补充多少升油?
下列各式中无论m为何值,一定是正数的是( )
A. |m| B. |m+1| C. |m|+1 D. ﹣(﹣m)
数轴上表示互为相反数的两个点之间的距离为5.6,则这两数为_____.
在某超市小明买了1千克甲种糖果和2千克乙种糖果,共付38元;小强买了2千克甲种糖果和0.5千克乙种糖果,共付27元.
(1)求该超市甲、乙两种糖果每千克各需多少元?
(2)某顾客到该超市购买甲、乙两种糖果共20千克混合,欲使总价不超过240元,问该顾客混合的糖果中甲种糖果最少多少千克?
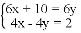
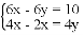
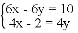
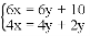
小明、小华两人练习跑步,如果小华先跑10米,则小明跑6秒就可追上小华; 如果小华先跑2秒, 则小明跑4秒就可追上小华.若设小明的速度为米/秒,小华的速度为米/秒,则下列方程组中 正确的是( )
A. B. C. D.
如图,已知菱形OABC的顶点A在x轴的正半轴上,反比例函数(x>0)的图象恰好经过点C,且与AB交于点D,若△OCD的面积为2,则点B的坐标为__________.