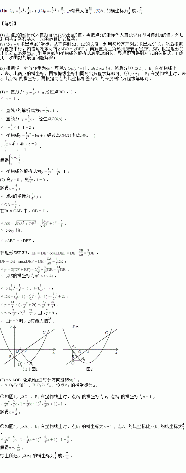
题目内容
如图1,在平面直角坐标系xOy中,直线l:
与x轴、y轴分别交于点A和点,抛物线![]()
经过点B,且与直线l的另一个交点为.![]()
![]()
求n的值和抛物线的解析式;![]()
点D在抛物线上,且点D的横坐标为![]()
轴交直线l于点E,点F在直线l上,且四边形DFEG为矩形![]()
如图![]()
若矩形DFEG的周长为p,求p与t的函数关系式以及p的最大值;![]()
是平面内一点,将![]()
绕点M沿逆时针方向旋转![]()
后,得到
,点A、O、B的对应点分别是点
、
、
若
的两个顶点恰好落在抛物线上,请直接写出点
的横坐标.
练习册系列答案
相关题目