题目内容

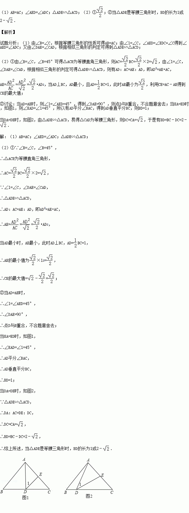
(2012•南平)如图,在△ABC中,点D、E分别在边BC、AC上,连接AD、DE,且∠1=∠B=∠C.

(1)由题设条件,请写出三个正确结论:(要求不再添加其他字母和辅助线,找结论过程中添加的字母和辅助线不能出现在结论中,不必证明)

答:结论一:

结论二:

结论三:

(2)若∠B=45°,BC=2,当点D在BC上运动时(点D不与B、C重合),

①求CE的最大值;

②若△ADE是等腰三角形,求此时BD的长.

(注意:在第(2)的求解过程中,若有运用(1)中得出的结论,须加以证明)

练习册系列答案
相关题目

违法和不良信息举报电话:027-86699610 举报邮箱:58377363@163.com

精英家教网