题目内容
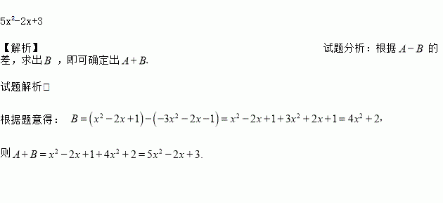
已知多项式A、B,其中A=x2-2x+1,小马在计算A+B时,由于粗心把A+B看成了A-B求得结果为-3x2-2x-1,请你帮小马算出A+B的正确结果.
5x2-2x+3 【解析】试题分析:根据的差,求出,即可确定出 试题解析: 根据题意得: 则
练习册系列答案
相关题目
题目内容
已知多项式A、B,其中A=x2-2x+1,小马在计算A+B时,由于粗心把A+B看成了A-B求得结果为-3x2-2x-1,请你帮小马算出A+B的正确结果.
5x2-2x+3 【解析】试题分析:根据的差,求出,即可确定出 试题解析: 根据题意得: 则