题目内容

计算:

(1)+ (2)

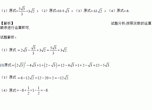
(3). (4)(-2)3+(2004-)0-|-|

(1)原式=;(2)原式=15-5;(3)原式=-12;(4)原式=-8. 【解析】试题分析:按照实数的运算顺序进行运算即可. 试题解析: (1)原式 (2)原式 (3)原式 (4)原式
练习册系列答案
相关题目

如图,Rt△ABC中,∠BAC=60°,点O为Rt△ABC斜边AB上的一点,以OA为半径的⊙O与BC切于点D,与AC交于点E,连接AD.

(1)求∠CAD的度数;

(2)若OA = 2,求阴影部分的面积(结果保留π).

【答案】(1)∠CAD的度数为30°;

(2)阴影部分的面积为.

【解析】试题分析:(1)连接OD.由切线的性质可知OD⊥BC,从而可证明AC∥OD,由平行线的性质和等腰三角形的性质可证明∠CAD=∠OAD;(2)连接OE,ED、OD.先证明ED∥AO,然后依据同底等高的两个三角形的面积相等可知S△AED=S△EDO,于是将阴影部分的面积可转化为扇形EOD的面积求解即可.

试题解析:(1)连接OD,

∵BC是⊙O的切线,D为切点,

∴OD⊥BC.

又∵AC⊥BC,

∴OD∥AC,

∴∠ADO=∠CAD.

又∵OD=OA,

∴∠ADO=∠OAD,

∴∠CAD=∠OAD=30°.

(2)连接OE,ED.

∵∠BAC=60°,OE=OA,

∴△OAE为等边三角形,

∴∠AOE=60°,

∴∠ADE=30°.

又∵

∴∠ADE=∠OAD,

∴ED∥AO,

∴阴影部分的面积 = .

【题型】解答题
【结束】
6

如图是由两个长方体组合而成的一个立体图形的三视图,根据图中所标尺寸(单位:mm),求这个立体图形的表面积.

200mm2. 【解析】试题分析:根据三视图可知立体图形下面的长方体的长、宽、高分别为8mm,6mm,2mm,上面的长方体的长、宽、高分别为4mm,2mm,4mm.由此计算这个立体图形的表面积即可. 试题解析: 根据三视图可知立体图形下面的长方体的长、宽、高分别为8mm,6mm,2mm,上面的长方体的长、宽、高分别为4mm,2mm,4mm. 则这个立体图形的表面积为:2(8...

违法和不良信息举报电话:027-86699610 举报邮箱:58377363@163.com

精英家教网