题目内容

【问题探究】

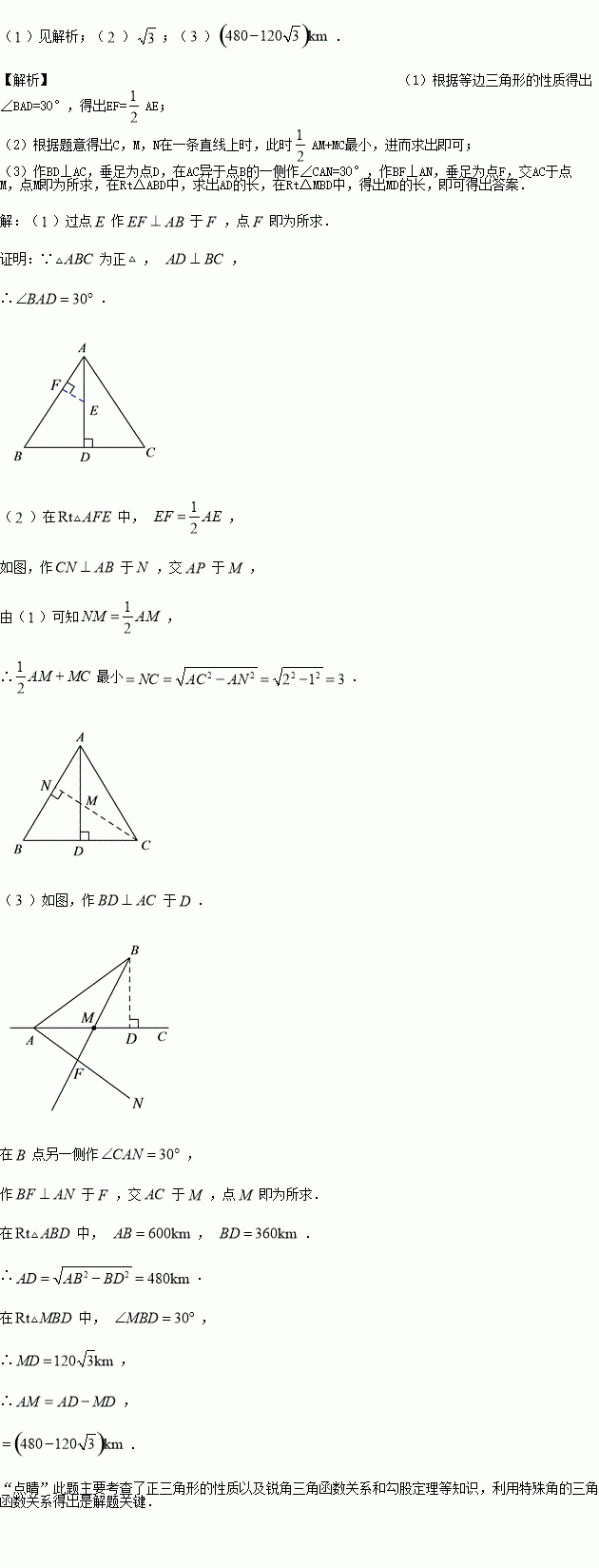
)如图①,点是正上的一定点,请在上找一点,使,并说明理由.

)如图②,点是边长为的正上的一动点,求的最小值.

【问题解决】

)如图③,两地相距是笔直第沿东西方向向两边延伸的一条铁路.今计划在铁路线上修一个中转站,再在间修一条笔直的公路.如果同样的物资在每千米公路上的运费是铁路上的两倍.那么,为使通过铁路由再通过公路由的总运费达到最小值,请确定中转站\的位置,并求出的长.(结果保留根号)

练习册系列答案
相关题目

违法和不良信息举报电话:027-86699610 举报邮箱:58377363@163.com

精英家教网