题目内容

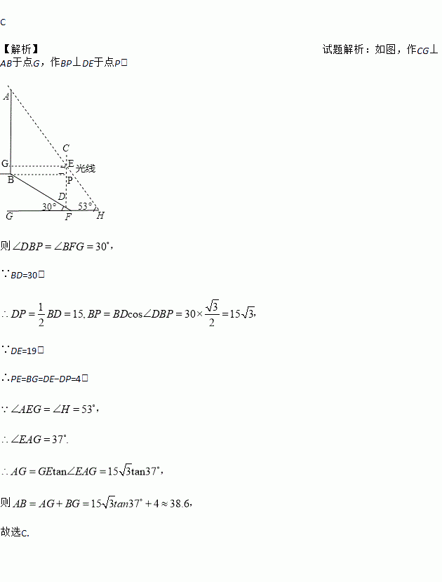
如图,在坡角为30°的山坡FB上有一座信号塔AB,其右侧有一堵防护墙CD,测得BD的长度是30米,当光线AC与水平地面的夹角为53°时,测得信号塔落在防护墙上的影子DE的长为19米,则信号塔AB的高度约为(  )

(参考数据:sin37°≈0.60,cos37°≈0.80,tan37°≈0.75, ≈1.73)

A. 35.5米 B. 37.6米 C. 38.6米 D. 40.3米

C 【解析】试题解析:如图,作CG⊥AB于点G,作BP⊥DE于点P, 则 ∵BD=30, ∵DE=19, ∴PE=BG=DE?DP=4, 则 故选C.
练习册系列答案
相关题目

违法和不良信息举报电话:027-86699610 举报邮箱:58377363@163.com

精英家教网