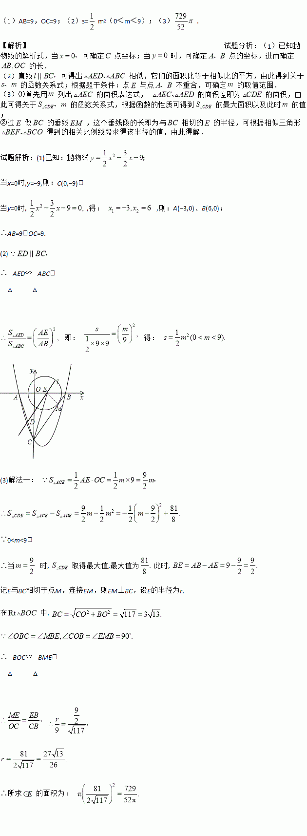
题目内容

如图,抛物线y=x2﹣x﹣9与x轴交于A、B两点,与y轴交于点C,连接BC、AC.

(1)求AB和OC的长;

(2)点E从点A出发,沿x轴向点B运动(点E与点A、B不重合),过点E作直线l平行BC,交AC于点D.设AE的长为m,△ADE的面积为s,求s关于m的函数关系式,并写出自变量m的取值范围;

(3)在(2)的条件下,连接CE,求△CDE面积的最大值;此时,求出以点E为圆心,与BC相切的圆的面积(结果保留π).

(1)AB=9,OC=9;(2)s=m2(0<m<9);(3). 【解析】试题分析:(1)已知抛物线的解析式,当 可确定点坐标;当时,可确定点的坐标,进而确定的长. (2)直线 可得出相似,它们的面积比等于相似比的平方,由此得到关于的函数关系式;根据题干条件:点与点不重合,可确定的取值范围. (3)①首先用列出的面积表达式, 的面积差即为的面积,由此可得关于的函数关系式,根据函数的性质可...
练习册系列答案
相关题目

违法和不良信息举报电话:027-86699610 举报邮箱:58377363@163.com

精英家教网