题目内容
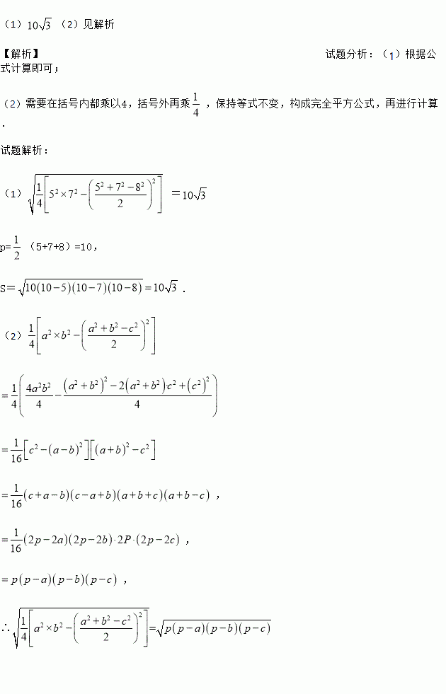
我国古代数学家秦九韶在《数书九章》中记述了“三斜求积术”,即已知三角形的三边长,求它的面积。用现代式子表示即为:
…①(其中a、b、c为三角形的三边长,S为面积)。
而另一个文明古国古希腊也有求三角形面积的海伦公式:
…②(其中
)。
(1)若已知三角形的三边长分别为5,7,8,试分别运用公式①和公式②,计算该三角形的面积S;
(2)你能否由公式①推导出公式②?请试试。
练习册系列答案
相关题目
题目内容
我国古代数学家秦九韶在《数书九章》中记述了“三斜求积术”,即已知三角形的三边长,求它的面积。用现代式子表示即为:
…①(其中a、b、c为三角形的三边长,S为面积)。
而另一个文明古国古希腊也有求三角形面积的海伦公式:
…②(其中
)。
(1)若已知三角形的三边长分别为5,7,8,试分别运用公式①和公式②,计算该三角形的面积S;
(2)你能否由公式①推导出公式②?请试试。