题目内容

在学习了二次根式后,小明同学发现有的二次根式可以写成另一个二次根式的平方的形式.

比如: .善于动脑的小明继续探究:

为正整数时,若,则有,所以.

请模仿小明的方法探索并解决下列问题:

(1)当为正整数时,若,请用含有的式子分别表示,得:

(2)填空:

-

(3)若,且为正整数,求的值.

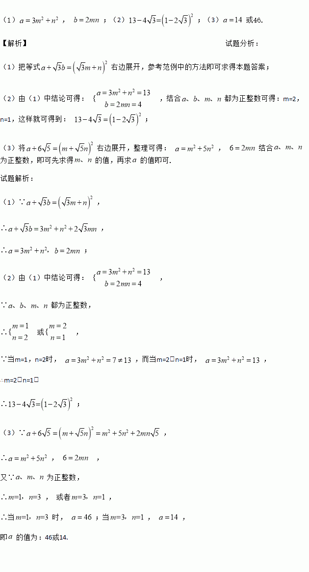
(1), ;(2);(3)或46. 【解析】试题分析: (1)把等式右边展开,参考范例中的方法即可求得本题答案; (2)由(1)中结论可得: ,结合都为正整数可得:m=2,n=1,这样就可得到: ; (3)将右边展开,整理可得: , 结合为正整数,即可先求得的值,再求的值即可. 试题解析: (1)∵, ∴, ∴; (2)由(1)中结论可得: ,...
练习册系列答案
相关题目

违法和不良信息举报电话:027-86699610 举报邮箱:58377363@163.com

精英家教网