题目内容
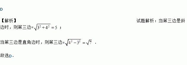
一直角三角形的两边长分别为3和4.则第三边的长为
A. 5 B. C. D. 5或
如图,已知AB是⊙O的直径,BP是⊙O的弦,弦CD⊥AB于点F,交BP于点G,E在CD的延长线上,EP=EG,
(1)求证:直线EP为⊙O的切线;
(2)点P在劣弧AC上运动,其他条件不变,若BG2=BFBO.试证明BG=PG;
(3)在满足(2)的条件下,已知⊙O的半径为3,sinB=.求弦CD的长.
分解因式:2x2-4x+2= .
因式分【解析】
若x2+y2=4,xy=-2,则(x+y)2=___________.
要证明命题“若a>b,则a2>b2”是假命题,下列a,b的值不能作为反例的是
A. =1,b=﹣2 B. =0,b=﹣1
C. =﹣1,b=﹣2 D. =2,b=﹣1
在如图所示的数轴上,点B与点C关于点A对称,A, B两点对应的实数分别是和-1,则点C所对应的实数是
A. B. C. D.
如图,动点P在平面直角坐标系中按图中箭头所示方向运动,第1次从原点运动到点(1,1),第2次接着运动到点(2,0),第3次接着运动到点(3,2),…,按这样的运动规律,经过第2017次运动后,动点P的坐标是( )
A. (2017,0) B. (2017,1) C. (2017,2) D. (2016,0)
如图,在平行四边形ABCD中,过点A作AE⊥BC,垂足为E,连接DE,F为线段DE上一点,且∠AFE=∠B.
(1)求证:△ADF∽△DEC;
(2)若AB=4,AD=,AE=3,求AF的长.