题目内容
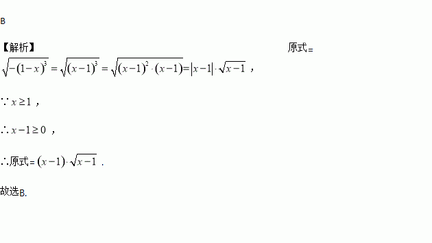
如果x≥1,那么化简的结果是( )
A. (1-x) B. (x-1) C. (1-x) D. (x-1)
某服装店有两套进价不同的羽绒服都卖了640元,其中一个盈利60%,另一个亏损20% ,在这次买卖中,这家商店( )
A. 赔了24元 B. 赚了32元 C. 赔了64元 D. 赚了80元
如图,直线y=x﹣4与x轴、y轴分别交于M、N两点,⊙O的半径为2,将⊙O以每秒1个单位的速度向右作平移运动,当移动时间______秒时,直线MN恰好与圆相切.
(2015秋•夏津县期末)如图,已知∠ABC=90°,D是直线AB上的点,AD=BC,如图,过点A作AF⊥AB,并截取AF=BD,连接DC、DF、CF.
(1)求证:△FAD≌△DBC;
(2)判断△CDF的形状并证明.
当a=,b=时,代数式的值是______.
等腰三角形的一个外角比与它相邻的内角大30°,则这个等腰三角形的底角为( )
A. 75° B. 37.5° C. 52.5°或75° D. 30°
如图,一次函数y=-2x+2的图像与x轴、y轴分别交于A、B两点.
(1)求图像与坐标轴围成的图形的面积.
(2)过C(0,1)作CD⊥AB于点P,交x轴于点D,求直线CD的解析式.
(3)点M从点D出发,以每秒1个单位长度的速度沿x轴向右运动,设运动时间为t(秒),△APM的面积为S.
①求出S关于t的函数关系式;
②运动多少秒时,△APD被PM分成的两部分面积比为1:5;
③连接AC,Q为直线AB上一点,当OQ垂直平分线段AC时,OQ把△AOB分成的两部分面积比为多少.(请直接写出答案)
点A的坐标(x,y)满足条件,则点A的位置在第_______象限.
如图,已知在△ABC中,AB=AC,AD⊥BC于点D,BC=2cm,则BD=____cm.