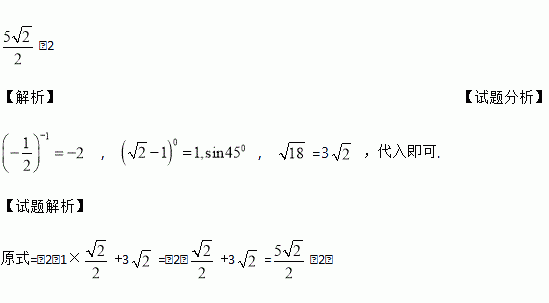
题目内容
计算:
.
练习册系列答案
相关题目
根据关于x的一元二次方程x2+px+q=0,可列表如下:则方程x2+px+q=0的正数解满足( )
x | 0 | 0.5 | 1 | 1.1 | 1.2 | 1.3 |
x2+px+q | ﹣15 | ﹣8.75 | ﹣2 | ﹣0.59 | 0.84 | 2.29 |
A. 解的整数部分是0,十分位是5 B. 解的整数部分是0,十分位是8
C. 解的整数部分是1,十分位是1 D. 解的整数部分是1,十分位是2
C 【解析】根据表中函数的增减性,可以确定函数值是0时,x应该是大于1.1而小于1.2. 所以解的整数部分是1,十分位是1. 故选:C.