题目内容

如图,直线l1⊥x轴于点A(2,0),点B是直线l1上的动点.直线l2:y=x+1交l1于点C,过点B作直线l3垂直于l2,垂足为D,过点O,B的直线l4交l 2于点E.当直线l1,l2,l3能围成三角形时,设该三角形面积为S1,当直线l2,l3,l4能围成三角形时,设该三角形面积为S2

(1)若点B在线段AC上,且S1=S2,则B点坐标为     

(2)若点B在直线l1上,且S2=S1,则∠BOA的度数为     

(1)(2,0);(2)15°或75°。

【解析】(1)设B的坐标是(2,m),则△BCD是等腰直角三角形。

,∴

设直线l4的解析式是y=kx,则2k=m,解得:

∴直线l4的解析式是

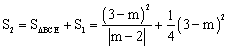
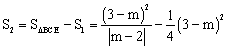
根据题意得:,解得:

∴E的坐标是()。

当S1=S2时,

解得:m=0,m=4(不在线段AC上,舍去),m=3(l2和l4重合,舍去)。

∴B的坐标是(2,0)。

(2)分三种情况:

①当点B在线段AC上时(如图1),

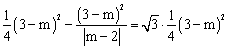
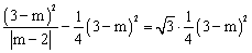
由S2=S 1得:

解得:(不在线段AC上,舍去),或m=3(l2和l4重合,舍去)。

∴AB=

在OA上取点F,使OF=BF,连接BF,设OF=BF=x,

则AF=2-x,根据勾股定理,得,解得

∴sin∠BFA=。∴∠BFA=30°。∴∠BOA=15°。

②当点B在AC延长线上时(如图2),

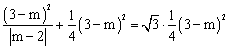
此时,,

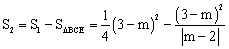
由S2=S 1得:

解得:(不在AC延长线上,舍去),或m=3(l2和l4重合,舍去)。

∴AB=

在AB上取点G,使BG=OG,连接OG,设BG=OG=x,

则AG=,根据勾股定理,得,解得

∴sin∠OGA=。∴∠OGA =30°。∴∠OBA=15°。∴∠BOA=75°。

③当点B在CA延长线上时(如图3),

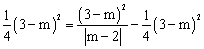
此时,,

由S2=S 1得:

解得: m=3(l2和l4重合,舍去)。

∴此时满足条件的点B不存在。

综上所述,∠BOA的度数为15°或75°。

练习册系列答案
相关题目

违法和不良信息举报电话:027-86699610 举报邮箱:58377363@163.com

精英家教网