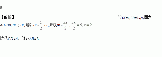
题目内容
如图,∠ACB=90°,D为AB的中点,连接DC并延长到点E,使CE=CD,过点B作BF∥DE交AE的延长线于点F,若BF=10,则AB的长为____.
如果关于x的一元二次方程有两个不相等的实数根,那么m的取值范围是
A. B. C. 且 D. 且
如图,在?ABCD中,连接AC,∠ABC=∠CAD=45°,AB=2,则BC的长是( )
A. B. 2 C. 2 D. 4
如图,□ABCD中,EF过对角线的交点O,AB=4,AD=3,OF=1,则四边形BCEF的周长为( )
A. 8 B. 9 C. 12 D. 13
如图,四边形ABCD中,AC,BD相交于点O,O是AC的中点,AD//BC,AC=8,BD=6.
(1)求证:四边形ABCD是平行四边形;
(2)若AC⊥BD,求□ABCD的面积.
如图,正方形ABCD的边长为4,点E在对角线BD上,且∠BAE=22.5°,EF⊥AB,垂足为F,则EF的长为( )
A. 1 B. C. 4-2 D. 3-4
如图,已知四边形ABCD是平行四边形,对角线AC,BD相交于点O,E是BC的中点,以下说法错误的是( )
A. OE=DC B. OA=OC
C. ∠BOE=∠OBA D. ∠OBE=∠OCE
如图,一艘船以6海里/小时的速度从港口A出发向东北方向航行,另一艘船以2.5海里/小时的速度同时从港口A出发向东南方向航行,离开港口2小时后,两船相距( )
A. 13海里 B. 10海里 C. 6.5海里 D. 5海里
已知在△ABC中,AB=AC=13,BC=10,如果以A为圆心r为半径的⊙A和以BC为直径的⊙D相交,那么r的取值范围( )
A.3<r<13 B.5<r<17 C.7<r<13 D.7<r<17