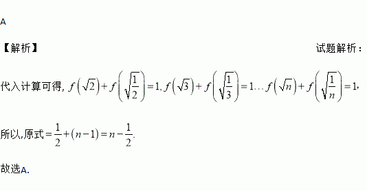
题目内容
如果f(x)=
并且f(
)表示当x=
时的值,即f(
)=
=
,表示当x=
时的值,即f(
)=
=
.
那么f(
)+f(
)+f(
)+f(
)+f(
的值是( )
A. n-
B. n-
C. n-
D. n+![]()
练习册系列答案
相关题目
题目内容
如果f(x)=
并且f(
)表示当x=
时的值,即f(
)=
=
,表示当x=
时的值,即f(
)=
=
.
那么f(
)+f(
)+f(
)+f(
)+f(
的值是( )
A. n-
B. n-
C. n-
D. n+![]()