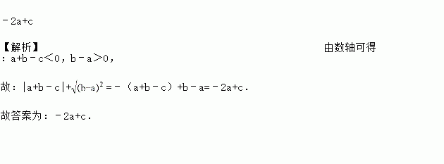
题目内容
已知a、b、c位置如图所示,试化简:|a+b﹣c|+ =_____.
抛物线y=x2﹣2x﹣3的顶点坐标是_____.
如图,是一个菱形的花坛,花坛的周长为40 m,沿着花坛相对的两个顶点分别修建了两条小路,这两条小路的长度之比为3∶4,请你计算这个花坛的面积是多少?(小路的宽度忽略不计)
如图,在笔直的铁路上A、B两点相距25km,C、D为两村庄,DA=10km,CB=15km,DA⊥AB于A,CB⊥AB于B,现要在AB上建一个中转站E,使得C、D两村到E站的距离相等.求E应建在距A多远处?
计算:3﹣9﹣(2﹣)﹣|2﹣5|.
如果一个直角三角形的两边分别是6,8,那么斜边上的中线是( )
A. 4 B. 5 C. 4或5 D. 3或5
浩然文具店新到一种计算器,进价为25元,营销时发现:当销售单价定为30元时,每天的销售量为150件,若销售单价每上涨1元,每天的销售量就会减少10件.
(1)写出商店销售这种计算器,每天所得的销售利润w(元)与销售单价x(元)之间的函数关系式;
(2)求销售单价定为多少元时,每天的销售利润最大?最大值是多少?
(3)商店的营销部结合上述情况,提出了A、B两种营销方案:
方案A:为了让利学生,该计算器的销售利润不超过进价的24%;
方案B:为了满足市场需要,每天的销售量不少于120件.
请比较哪种方案的最大利润更高,并说明理由.
把多项式x3-4x因式分解所得的结果是( )
A. x(x2-4) B. x(x+4)(x-4) C. x(x+2)(x-2) D. (x+2)(x-2)
如图,若一次函数y=-2x+b的图象交y轴于点A(0,3),则不等式-2x+b>0的解集为( )
A. x> B. x>3
C. x< D. x<3