题目内容

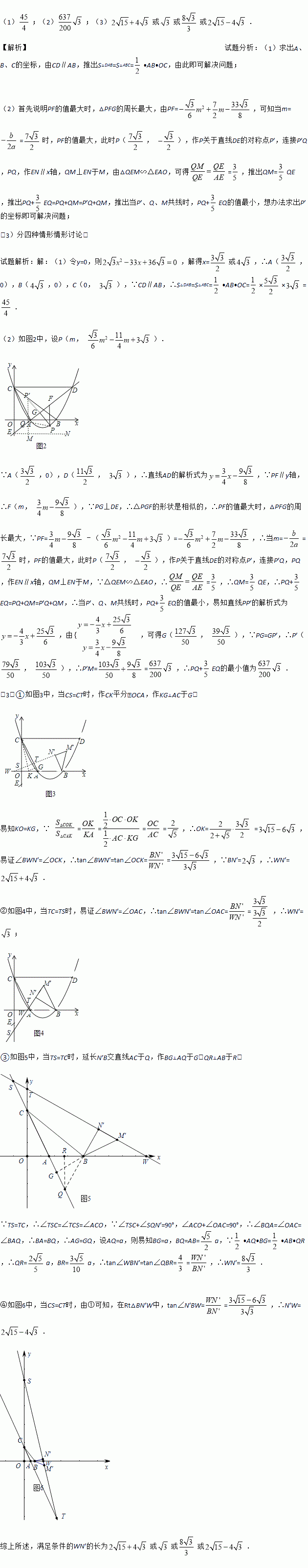
如图1,在平面直角坐标系中,抛物线与x轴交于点A、B两点(点A在点B的左侧),与y轴交于点C,过点C作CD∥x轴,且交抛物线于点D,连接AD,交y轴于点E,连接AC.

(1)求S△ABD的值;

(2)如图2,若点P是直线AD下方抛物线上一动点,过点P作PF∥y轴交直线AD于点F,作PG∥AC交直线AD于点G,当△PGF的周长最大时,在线段DE上取一点Q,当PQ+QE的值最小时,求此时PQ+ QE的值;

(3)如图3,M是BC的中点,以CM为斜边作直角△CMN,使CN∥x轴,MN∥y轴,将△CMN沿射线CB平移,记平移后的三角形为△C′M′N′,当点N′落在x轴上即停止运动,将此时的△C′M′N′绕点C′逆时针旋转(旋转度数不超过180°),旋转过程中直线M′N′与直线CA交于点S,与y轴交于点T,与x轴交于点W,请问△CST是否能为等腰三角形?若能,请求出所有符合条件的WN′的长度;若不能,请说明理由.

(1);(2);(3)或或或. 【解析】试题分析:(1)求出A、B、C的坐标,由CD∥AB,推出S△DAB=S△ABC=•AB•OC,由此即可解决问题; (2)首先说明PF的值最大时,△PFG的周长最大,由PF=,可知当m==时,PF的值最大,此时P(, ),作P关于直线DE的对称点P′,连接P′Q,PQ,作EN∥x轴,QM⊥EN于M,由△QEM∽△EAO,可得=,推出QM=QE,推出...
练习册系列答案
相关题目

违法和不良信息举报电话:027-86699610 举报邮箱:58377363@163.com

精英家教网