题目内容
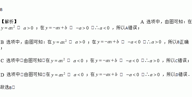
函数与的图象可能是( ).
A. B. C. D.
解方程:
(1)=2;
(2).
已知x1 , x2是关于x的一元二次方程x2﹣5x+a=0的两个实数根,且x12﹣x22=10,则a=____.
如图,以已知线段为弦作⊙,使其经过已知点.
()利用直尺和圆规作圆(保留作图痕迹,不必写出作法).
()若, ,求过、、三点的圆的半径.
如图, 内接于⊙, 是⊙的直径, , 平分交⊙于,交于点,连接,则的值等于( ).
如图1,在平面直角坐标系中,抛物线与x轴交于点A、B两点(点A在点B的左侧),与y轴交于点C,过点C作CD∥x轴,且交抛物线于点D,连接AD,交y轴于点E,连接AC.
(1)求S△ABD的值;
(2)如图2,若点P是直线AD下方抛物线上一动点,过点P作PF∥y轴交直线AD于点F,作PG∥AC交直线AD于点G,当△PGF的周长最大时,在线段DE上取一点Q,当PQ+QE的值最小时,求此时PQ+ QE的值;
(3)如图3,M是BC的中点,以CM为斜边作直角△CMN,使CN∥x轴,MN∥y轴,将△CMN沿射线CB平移,记平移后的三角形为△C′M′N′,当点N′落在x轴上即停止运动,将此时的△C′M′N′绕点C′逆时针旋转(旋转度数不超过180°),旋转过程中直线M′N′与直线CA交于点S,与y轴交于点T,与x轴交于点W,请问△CST是否能为等腰三角形?若能,请求出所有符合条件的WN′的长度;若不能,请说明理由.
如图,EF∥AD,∠1=∠2,∠BAC=87°,求你∠AGD的度数.
在以下奢侈品牌的标志中,是轴对称图形的是( )
如图,DE∥BC,在下列比例式中,不能成立的是( )