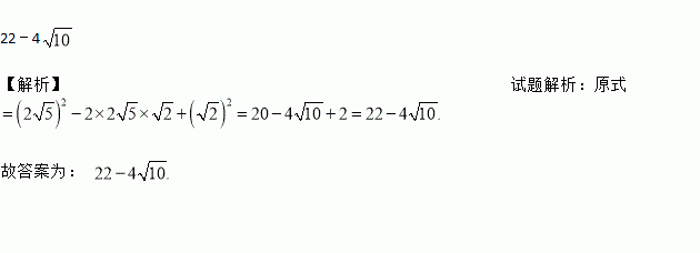
题目内容
计算的结果是________.
因式分【解析】
(1)4ax2-9ay2; (2)6xy2-9x2y-y3.
某市长途电话按时分段收费,3分钟内收费1.8元,以后每超过1分钟加收0.8元.若通话t分钟(t≥3).
(1)求需付电话费y(元)与t(分钟)之间的函数关系式;
(2)画出函数图象.
正比例函数y=kx(k≠0)的图象在第二、四象限,则一次函数y=x+k的图象大致是( )
A. B. C. D.
下列各式: , , , 中,是二次根式的有________.
下列计算正确的是( )
A. B. C. D.
把根号外的因式移入根号内得( )
如图 ,在正的内部,作, , , 两两相交于, , 三点 (, , 三点不重合).
(), , 是否全等?如果是,请选择其中一对进行证明.
()是否为正三角形?请说明理由.
()进一步探究发现, 的三边存在一定的等量关系,设, , ,请探索, , 满足的等量关系.
如图,⊙O的圆心O到直线l的距离为4cm,⊙O的半径为1cm,将直线l向右(垂直于l的方向)平移,使l与⊙O相切,则平移的距离为( )
A、1cm B、3cm C、5cm D、3cm或5cm