题目内容
如图,抛物线:![]()
与x轴交于A,B两点(点A在点B的左侧),将抛物线l在x轴下方部分沿x轴翻折,x轴上方的图像保持不变,就组成了函数的图像.![]()
(1)若点A的坐标为(1,0).
①求抛物线的表达式,并直接写出当x为何值时,函数![]()
的值y随x的增大而增大;![]()
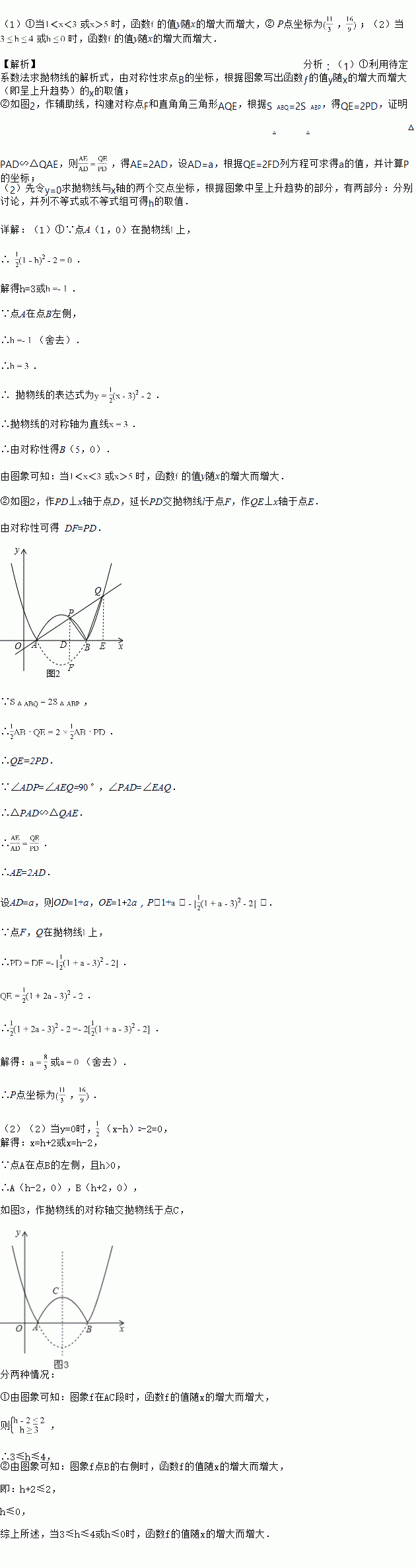
②如图2,若过A点的直线交函数的图像于另外两点P,Q,且![]()
,求点P的坐标;
(2)当时,若函数![]()
的值y随x的增大而增大,直接写出h的取值范围.![]()
![]()
练习册系列答案
相关题目
题目内容
如图,抛物线:![]()
与x轴交于A,B两点(点A在点B的左侧),将抛物线l在x轴下方部分沿x轴翻折,x轴上方的图像保持不变,就组成了函数的图像.![]()
(1)若点A的坐标为(1,0).
①求抛物线的表达式,并直接写出当x为何值时,函数![]()
的值y随x的增大而增大;![]()
②如图2,若过A点的直线交函数的图像于另外两点P,Q,且![]()
,求点P的坐标;
(2)当时,若函数![]()
的值y随x的增大而增大,直接写出h的取值范围.![]()
![]()