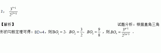
题目内容
如图,矩形纸片
中,
.第一次将纸片折叠,使点
与点
重合,折痕与
交于点
;设
的中点为
,第二次将纸片折叠使点
与点
重合,折痕与
交于点
;设
的中点为
,第三次将纸片折叠使点
与点
重合,折痕与
交于点
,… .按上述方法折叠,第n次折叠后的折痕与
交于点
,则
=________,
=_________.
![]()
![]()
练习册系列答案
相关题目
题目内容
如图,矩形纸片
中,
.第一次将纸片折叠,使点
与点
重合,折痕与
交于点
;设
的中点为
,第二次将纸片折叠使点
与点
重合,折痕与
交于点
;设
的中点为
,第三次将纸片折叠使点
与点
重合,折痕与
交于点
,… .按上述方法折叠,第n次折叠后的折痕与
交于点
,则
=________,
=_________.
![]()
![]()