题目内容
计算:-3x·(4y-1)的结果为_______.
如图,抛物线与x轴交于点A,B,与轴交于点C。过点C作CD∥x轴,交抛物线的对称轴于点D,连结BD。已知点A坐标为(-1,0)。
(1)求该抛物线的解析式;
(2)求梯形COBD的面积。
a,b在数轴上的位置如图,化简|a+b|的结果是( )
A. ﹣a﹣b B. a+b C. a﹣b D. b﹣a
已知: , .
求:(1)的值; (2)的值.
一个三角形的两条边长度分别为1和4,则第三边a可取_______.(填一个满足条件的数)
下列运算正确的是( )
A. += B. C. ÷= D.
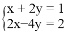
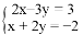
解方程组:
(1)(加减法)
(2)(代入法)
若是关于x、y的二元一次方程ax-3y=1的解,则a的值为( )
A. -5 B. -1 C. 2 D. 7
如图,在△ABC中,AB=AD=DC,∠BAD=20°,则∠C=_______.