题目内容
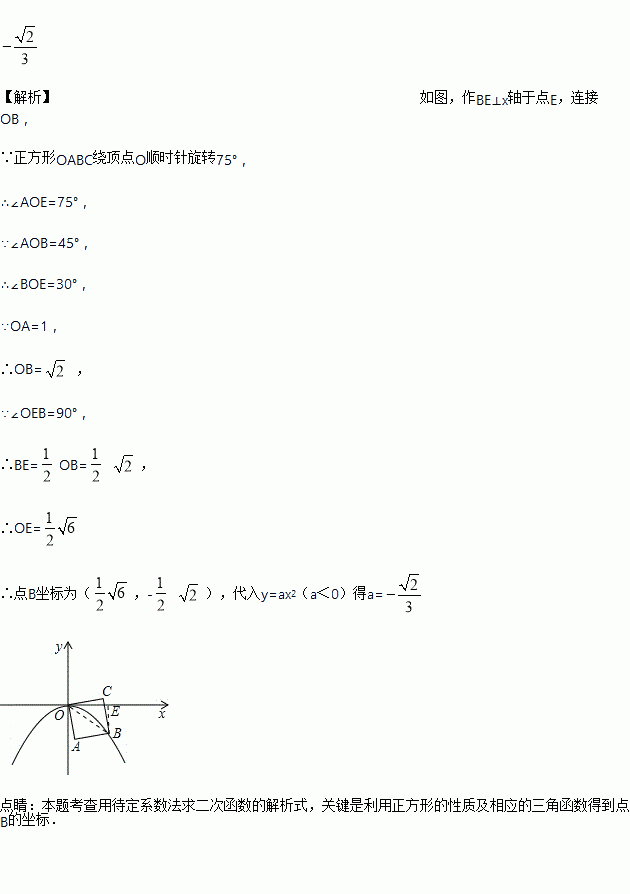
边长为1的正方形OABC的顶点A在x轴的正半轴上,如图将正方形OABC绕顶点O顺时针旋转75°,使点B恰好落在函数y=ax2(a<0)的图像上,则a的值为_____________.
函数 的图象与y轴的交点坐标是_________.
定义一种新的运算:x*y=,如:3*1=,则(2*3)*2= .
如图3,⊙O中OA⊥BC,∠CDA=25°,则∠AOB的度数为___________.
如图,抛物线与x轴交于点A,B,与轴交于点C。过点C作CD∥x轴,交抛物线的对称轴于点D,连结BD。已知点A坐标为(-1,0)。
(1)求该抛物线的解析式;
(2)求梯形COBD的面积。
已知抛物线开口向下,那么a的取值范围是____________.
对于函数使得y随x的增大而增大的x的取值范围是( )
A. x≥-1 B. x≤-1 C. x≥0 D. x≤0
当 a=1 时,|a﹣3|的值为 .
下列运算正确的是( )
A. += B. C. ÷= D.